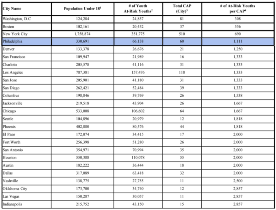
Oklahoma City has one of the most significant needs for child and adolescent psychiatrists, who serve some of the state’s most vulnerable children. A national nonprofit representing these professionals published a review of the nation’s largest cities and their populations under 18.
Child and adolescent psychiatrists work with young people struggling with mental health conditions, ranging from anxiety to schizophrenia and bipolar disorder. An analysis of data from the American Academy of Children and Adolescent Psychiatry (AACAP) and U.S. Census Bureau found that in Oklahoma’s largest city, only 12 of these professionals are available for Oklahoma City’s 173,700 youth, nearly 35,000 of whom are considered “at-risk.”
Statewide, there are 950,444 Oklahomans in that age group. An AACAP map from 2022 shows 81 child and adolescent psychiatrists are available to support Oklahoma kids overall.

But, those professionals are not evenly spread. AACAP President Dr. Tami Benton said only nine of Oklahoma’s 77 counties have a child and adolescent psychiatrist.
“As you move out to more rural areas, there are virtual deserts for mental health care where there's nothing available. There's no child and adolescent psychiatrist,” Benton said.
Youth mental health has been deteriorating, with 42% of high school students saying they experienced persistent feelings of sadness or hopelessness in the past year, according to 2021 data from the CDC. The same data found that more than one in five high school students seriously considered attempting suicide.
“The level of mental health distress has outpaced the number of providers,” Benton said.
Benton said a continued shortage among these professionals puts young people’s health further at risk.
“We have so many treatments that work for young people. We have preventive interventions that work for young people and families — but if they don't have access, they just get worse over time,” Benton said.
Benton said contributing factors to this shortage include lengthy training times, costly higher education and low reimbursement rates for public practices.
She said solutions include building on loan repayment options and supporting parity, which requires insurance companies to offer equal coverage for mental and physical health conditions. Federal and state law require it, but Benton said enforcement can be uneven.
Although, Benton said the challenges states like Oklahoma face in filling these gaps and caring for vulnerable youth aren’t insurmountable.
“I think we can do better (in) that we can support prevention, and I think that we have an opportunity right now while there's so much national focus, to really create an environment where young people in our country can thrive,” Benton said.
StateImpact Oklahoma is a partnership of Oklahoma’s public radio stations which relies on contributions from readers and listeners to fulfill its mission of public service to Oklahoma and beyond. Donate online.